Providence’s Foxy Lady Closure Sparks Legal Scramble and Unveils Chaotic System
GoLocalProv News Team and Kate Nagle
Providence’s Foxy Lady Closure Sparks Legal Scramble and Unveils Chaotic System

At 3:00 p.m. the RI Department of Business Regulation will hear an appeal by the Foxy Lady on the liquor-related licenses and the Rhode Island State Supreme Court will be hearing motions from the club’s owners appealing the revocation of the business licenses.
In an appeal to the RI State Supreme Court, former RI State Representative Fausto Anguilla argues that the decision was an overreach by the City of Providence. Club employees and Anguilla claim that more than 225 are employed or are contracted to the club. According to lawyers, most of the dancers at the club are 990 independent contractors and not employees.
GET THE LATEST BREAKING NEWS HERE -- SIGN UP FOR GOLOCAL FREE DAILY EBLASTThe Foxy Lady is just the latest example of the complex and often inconsistent process.
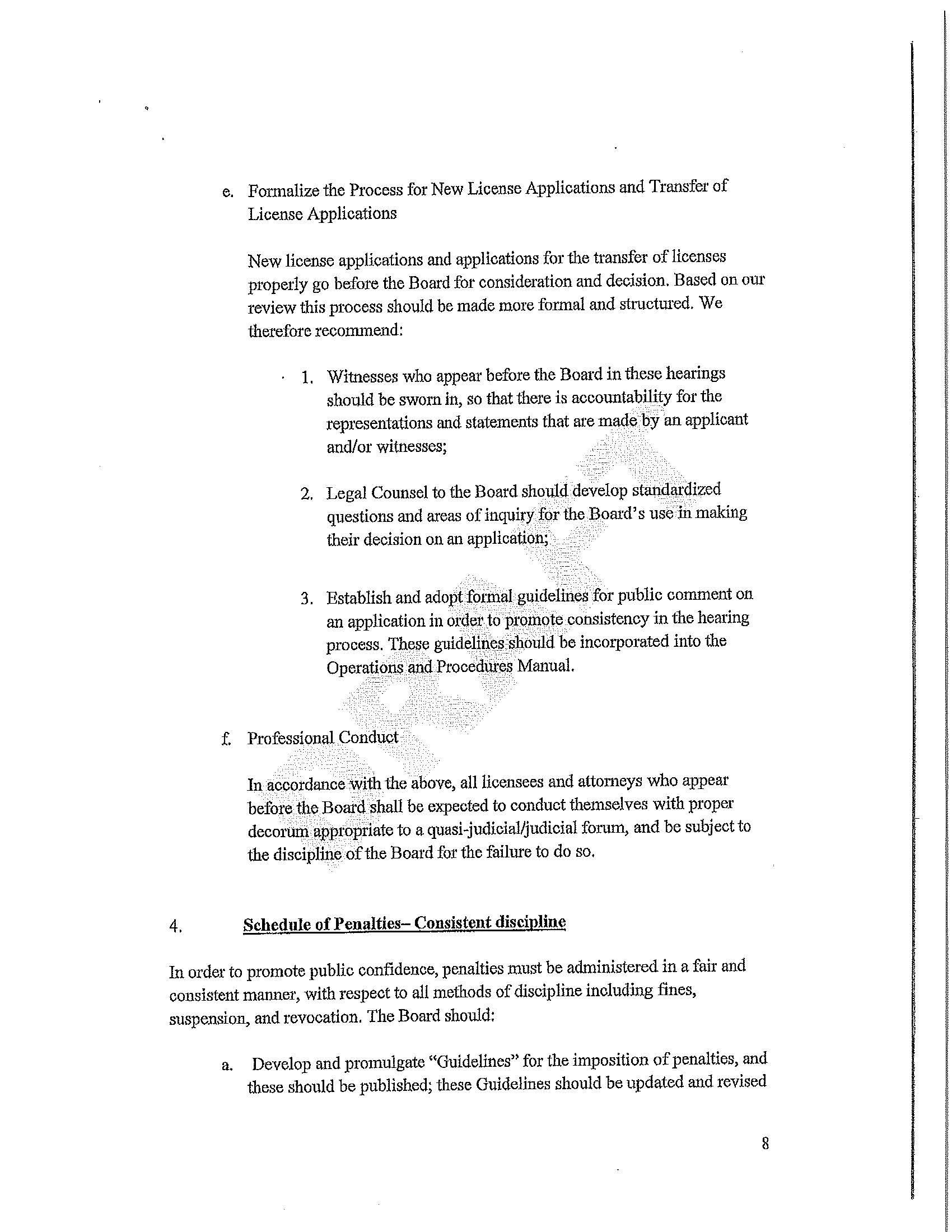
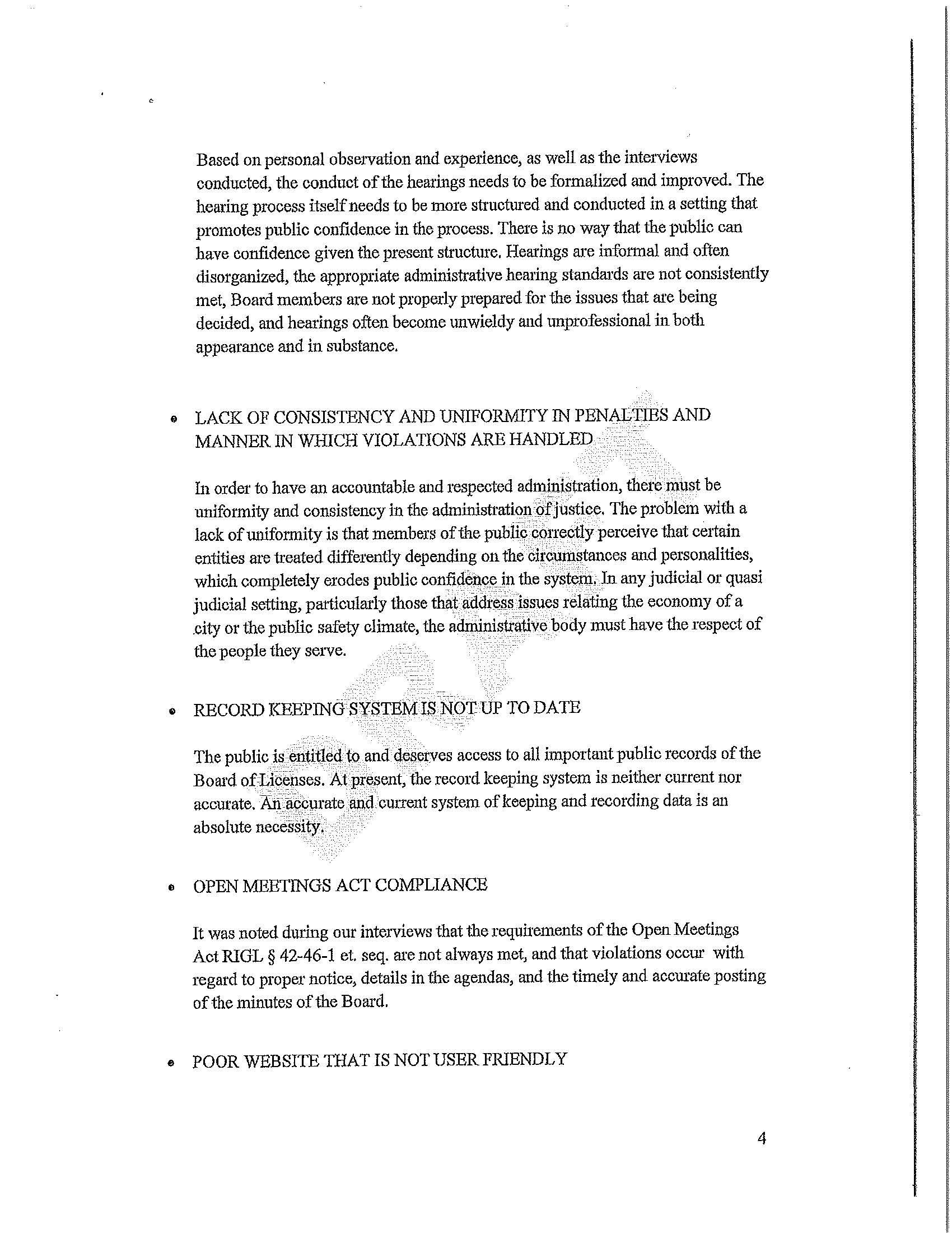
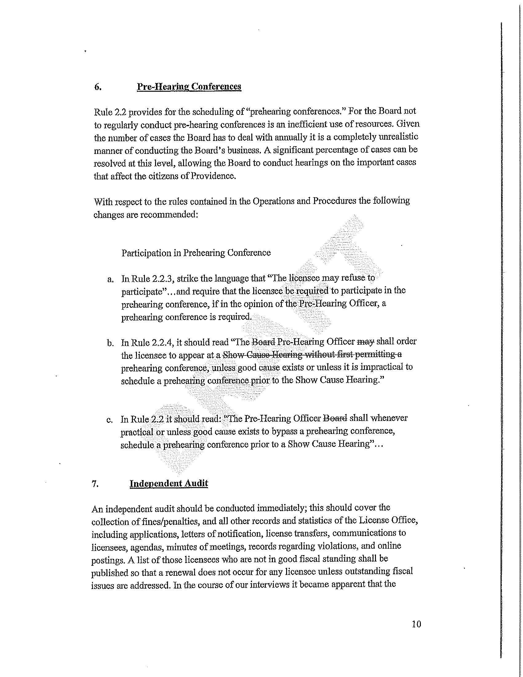
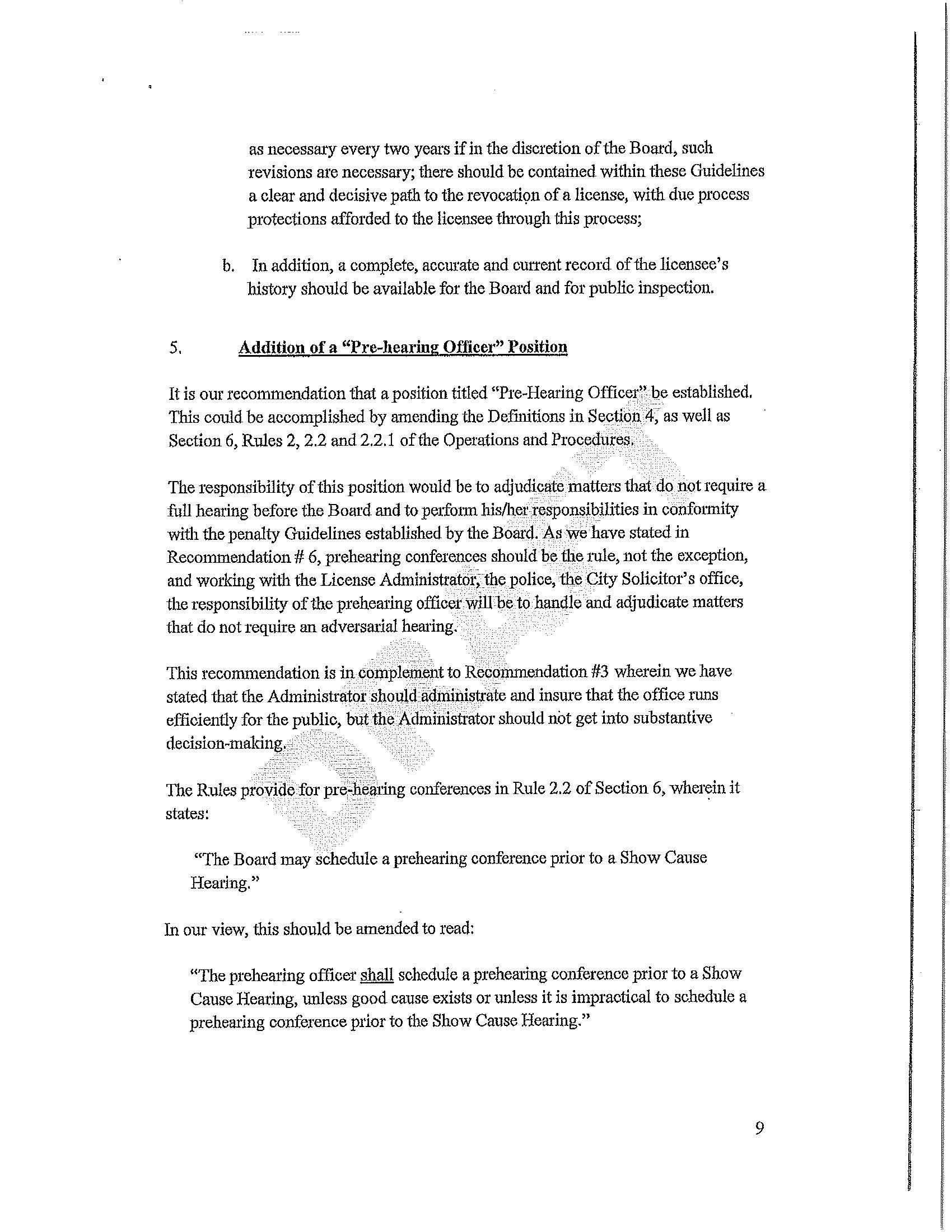
In 2016, former Rhode Island Attorney General Jeffrey Pine issued a scathing report on the structure, leadership, and processes of the city's board of licenses.
READ THE PINE REPORT BELOW
“It is abundantly clear that at present the Board is not serving the citizens of Providence at an acceptable or required standard,” said Pine. “It cannot be stressed enough how important it is that the Board function and perform its duties at the highest professional level, following its own rules consistently, removing politics from the equation, creating a public-friendly environment, and holding accountable those who violate any rules, regulations or laws."
“In order to have an accountable and respected administration, there must be uniformity and consistency in the administration of justice,” wrote Pine, who noted the BOL’s record keeping system is not up to date, and that the BOL has a “poor website that is not user-friendly."
Since Pine’s report little substantively has changed with the structure, but some staffing has changed including the chair. Attorney Dylan Conley, son of State Senator William Conley has replaced former State Senator Juan Pichardo.
But, none of the structural reforms have been adopted by the Providence City Council or Mayor Jorge Elorza.

Often, the Board of Licenses is criticized for being lax and allowing club owners to operate recklessly and when the Board does take action is almost always overturned on appeal.
When asked if the Providence Board of License structure and decision-making processes are flawed, Conley told GoLocal that, “There is room for improvement within the system because the Board of Licenses is subject to de novo review, which effectively renders our fact-finding and decision irrelevant. This is an odd standard when you consider that many appeals, such as zoning decisions or labor arbitration, give great deference to the fact-finding body.”
"In the case of the Board of Licenses, we have had licensees say, 'Do whatever you want, it doesn’t matter, I am just going to go to DBR’. Although that sounds callous and absurd, it is proper legal analysis. The de novo standard of review really undercuts the authority of the Board of Licenses. Bottom line, the system would be improved if the standard of review changed," added Conley.
.jpg)
“I think the result at Ultra is a good example [of DBR upholding BoL decisions] as did what happened at the Art Bar. They have done a much better job arguing and presiding over those cases that I’ve involved with, due to the fact they are in our neighborhood. It comes down to the city solicitor taking it seriously and doing the appropriate work. I applaud what Dylan Conley is doing — finally, the light bulbs have gone on. Either they are all going to do their jobs or they won’t be allowed to continue to go through the motions,“ said Steele.
Attorney Peter Petrarca, a top club attorney tells GoLocal, “Listen, I don't know if the process is broken. I don't know how much the police influence the board of licenses. I think the [Foxy Lady] decision was wrong in my purview.”
“I think the city tends to take a look at what they determine in the best interest of the city and the DBR looks at what's right for the state. In the city, you have neighborhood pressure, right or wrong, whereas DBR is an insulated body, and they hear appeals based on the record and no outside noise, and they make a ruling, And if you don't like you can go to the Supreme Court,” said Petrarca.
“I do believe that the Foxy Lady will be reopened,” he added.
