RI Dept. of Health Found Multiple Violations at South County's TwoTen Oyster Bar & Grill
GoLocalProv News Team
RI Dept. of Health Found Multiple Violations at South County's TwoTen Oyster Bar & Grill
TwoTen Oyster Bar & Grill in South Kingstown closed down temporarily following a Rhode Island Department of Health inspection that found multiple violations, including the presence of flies -- and a violation of the "Rules and Regulations Pertaining to Certification of Managers in Food Safety" which require a facility to have a manager certified in food safety.
According to the Rhode Island Department of Health, the agency first inspected TwoTen last Thursday.
"Our initial inspection was prompted by one diagnosed case [of] vibriosis, and a second probable case of vibriosis. Both people reported eating at the restaurant," said Joseph Wendelken with the Rhode Island Department of Health.
GET THE LATEST BREAKING NEWS HERE -- SIGN UP FOR GOLOCAL FREE DAILY EBLASTFollowing the initial inspection, the restaurant was closed -- and then reopened on Saturday with a food safety consultant on site.
SEE REPORTS PROVIDED BY DEPARTMENT OF HEALTH -- BELOW
The owner of the restaurant told GoLocal in a text message, "We voluntarily closed for 1/2 a day as a result of our walk-in cooler failing. Nor is there a confirmed food poisoning case from our restaurant that was traced back to an oyster farm in Canada," said TwoTen's owner Andrew Bilodeau. He is also a partner in the law firm Bilodeau Capalbo, LLC.
“[The inspection] was in response to the illness complaints,” said Wendelken. “The owners were very cooperative, and acknowledged the health concerns cited by our inspectors. We communicated to them that it was important for the restaurant to close temporarily so that steps could be taken to address the issues identified before customers were served again. The owners concurred, and the restaurant closed, so it was considered a voluntary closure.”
Department of Health on Site at TwoTen
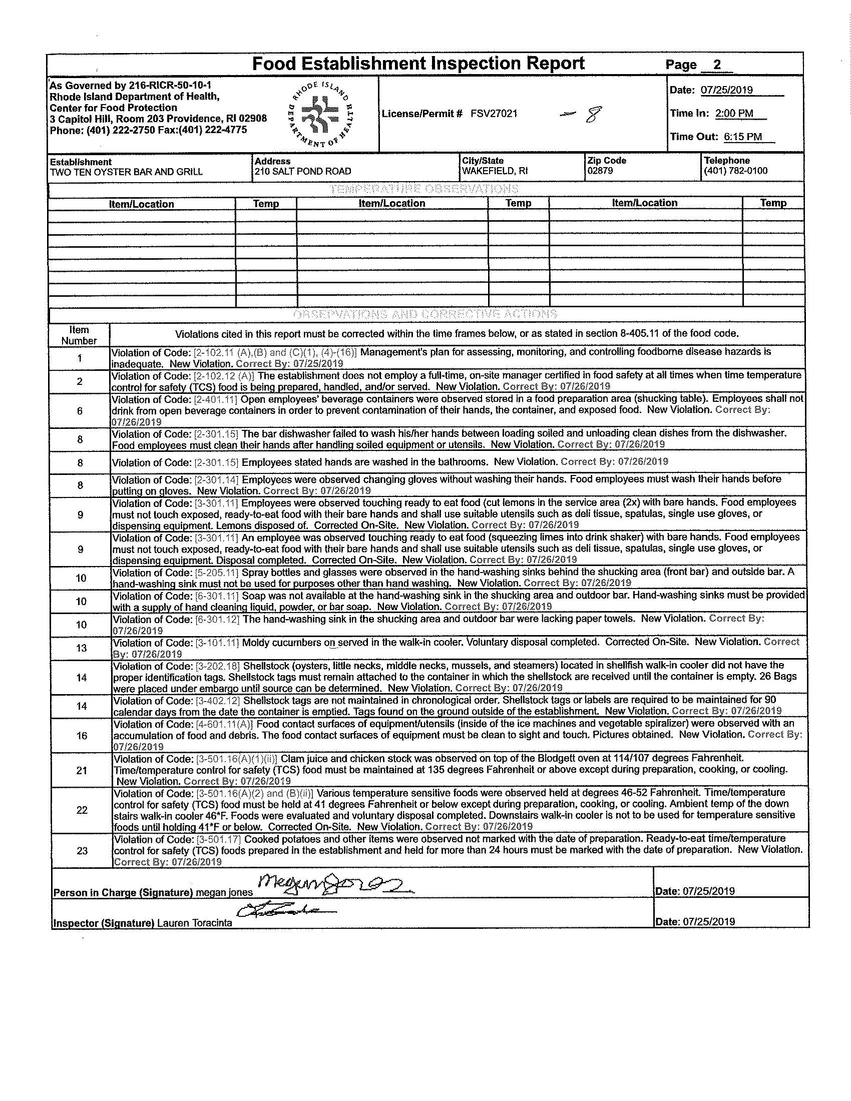
“We had inspectors at TwoTen Oyster Bar last Thursday, Friday, and Monday. At the initial inspection, a number of health and safety issues were identified,” said Wendelken.
Some of the violations included the following -- SEE FULL LIST BELOW
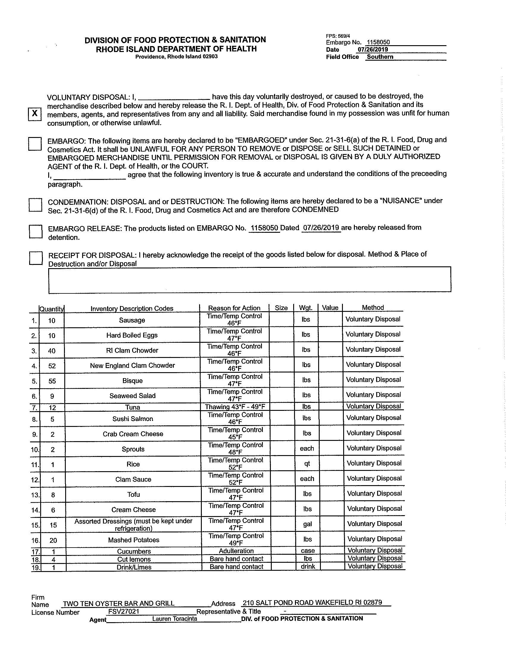
Violation of Code: [3-501.14] Clam and sausage stuffing (60 degrees F), marinara (51 degrees F), white clam chowder (49 degrees F), which was prepared in advance (the day before), was not cooled to 70 degrees Fahrenheit in 2 hours and then to 41 degrees Fahrenheit within 4 hours. Food was voluntarily disposed during inspection. Corrected On-Site.
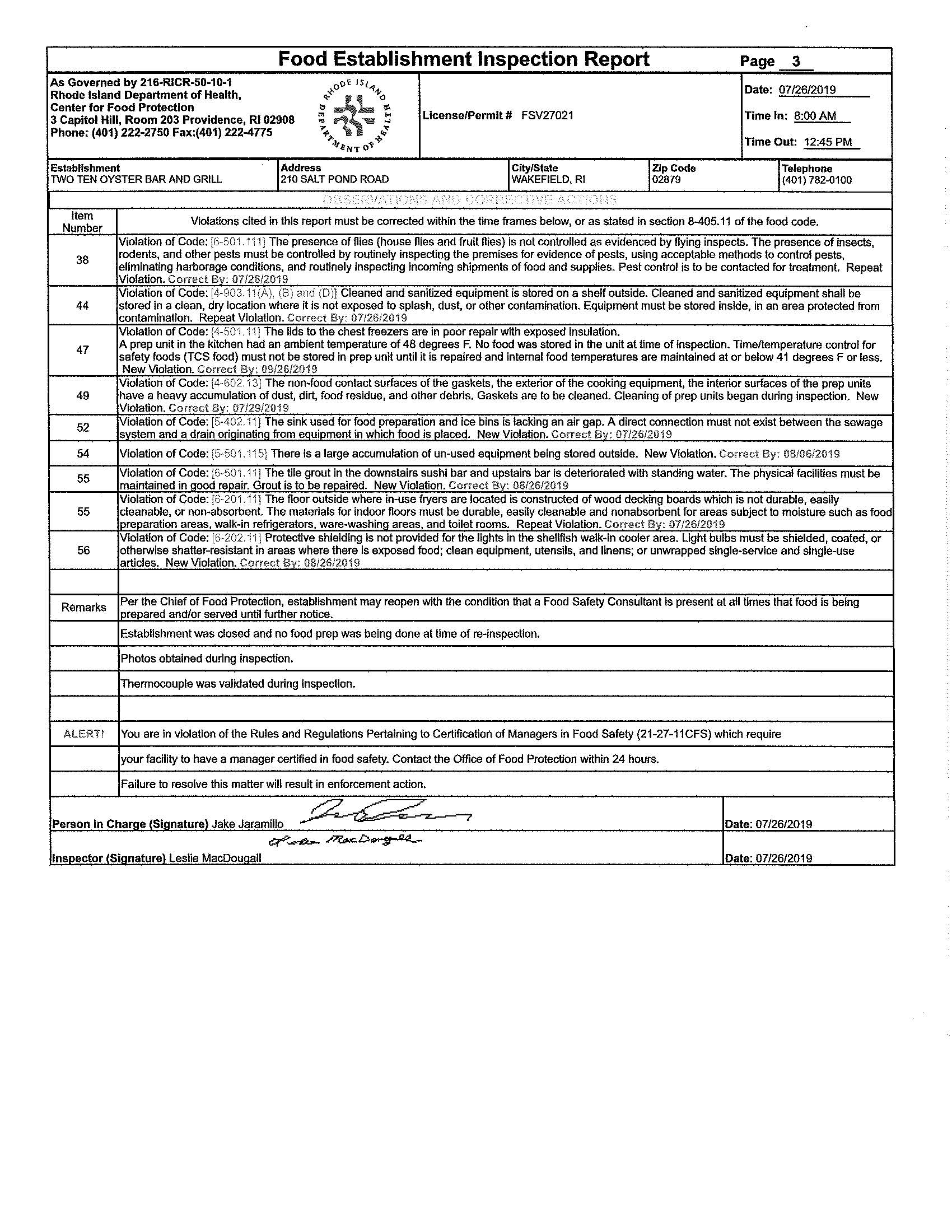
Violation of Code: [6-501.111] The presence of flies (house flies and fruit flies) is not controlled as evidenced by flying inspects. The presence of insects, rodents, and other pests must be controlled by routinely inspecting the premises for evidence of pests, using acceptable methods to control pests, eliminating harborage conditions, and routinely inspecting incoming shipments of food and supplies. Pest control is to be contacted for treatment. Repeat Violation.
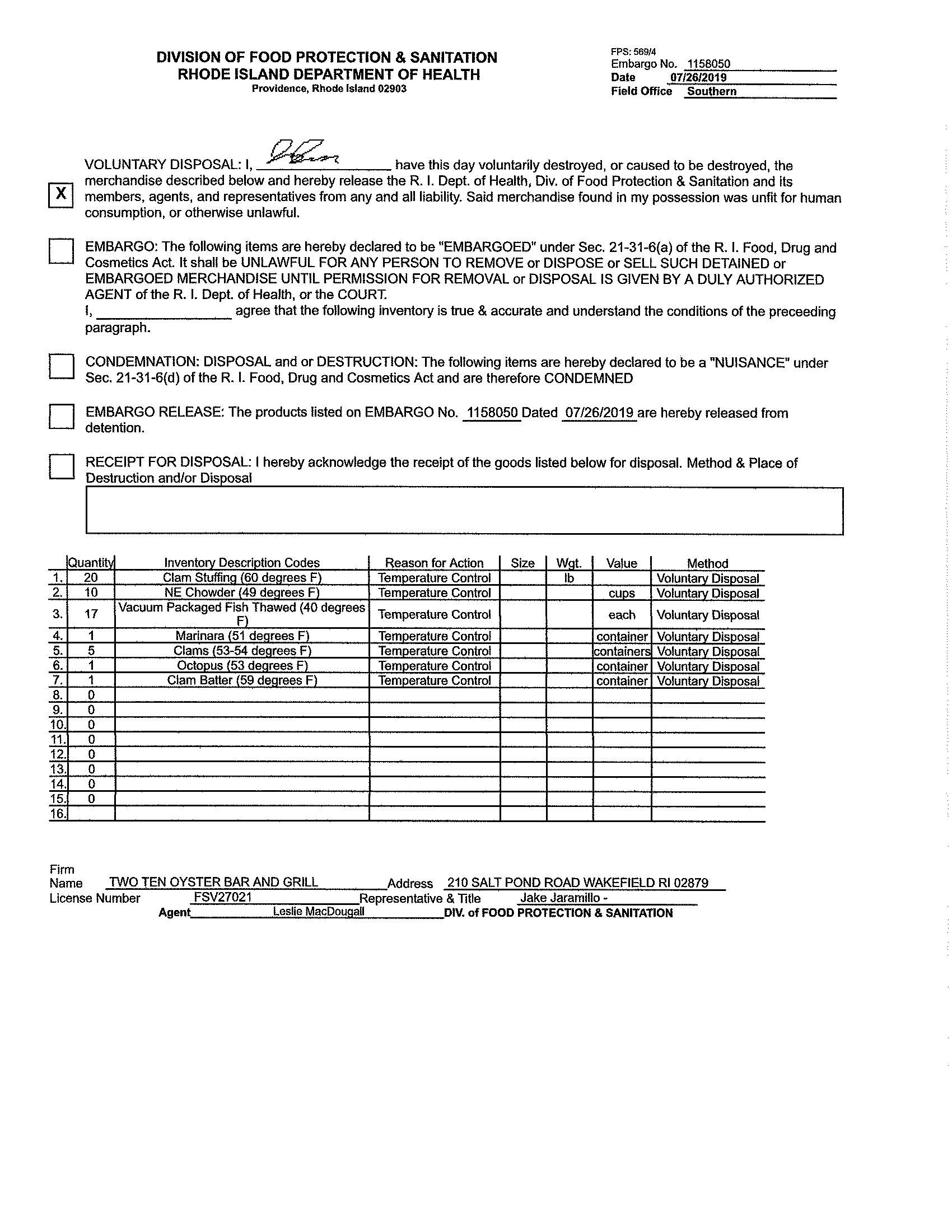
Violation of Code: [3-501.13] Vacuum packaged fish with the wrapping intact was observed thawed (40 degrees F) in the walk-in cooler. Per the label, "keep frozen until used, remove from vacuum packaging and thaw under refrigeration immediately before use". Swordfish was voluntarily disposed during inspection. Corrected On-Site. Repeat Violation
“After the Thursday inspection, the restaurant was closed. The restaurant was allowed to reopen on Saturday on the condition that a food safety consultant be on site. The consultant is still there, and we anticipate that she will be there for several more weeks to ensure that proper food safety practices are being followed. RIDOH inspectors are also going to be doing regular, unannounced inspections at the restaurant,” said Wendelken.







