We Asked the State About the Details of the Superman Deal - Here Is What They Said
GoLocalProv News Team
We Asked the State About the Details of the Superman Deal - Here Is What They Said
PHOTO: GoLocalGoLocal submitted a range of questions to Commerce RI regarding the details of the proposed Superman financing. The following are the questions and the responses.
In addition is an analysis of the responses — what was not responded to and what documents were not provided. To date, Commerce RI has only made a four-page term sheet available publicly. The document can be found at the bottom of this article.
GoLocal: Has a project cost estimate been prepared by a professional construction management firm like Gilbane or is the state depending on Sweetsor estimate? Please provide a copy.
RI Commerce: The developer relied upon a third-party international construction management firm for development of the project budget. Additionally, global real estate firm Jones Lang LaSalle helped Commerce review pro forma assumptions. The project budget does contain a contingency.
Analysis: Commerce refused to provide a copy of the project budget.
GoLocal: Is the state commitment “first in” non-recourse financing?
Commerce RI: No. Commerce’s investments are only paid when the project has been constructed and receives a Certificate of Occupancy, and RI Housing’s payments are made once construction is underway and on a reimbursement basis, after agreed-upon milestones are reached.
GoLocal: Does [Superman owner David] Sweetser’s company or the lender he’ll use guarantee performance/ completion with timeline benchmarks? If so, please provide a copy. Who is the lender?
Commerce RI: As we explained [Tuesday], securing a lender is part of the process ahead for the project.
Analysis: No lender has been selected. There is no financing in place.
MA Developer David Sweetser PHOTO: GoLocalGoLocal: What’s the developer's fee?
Commerce RI: 2.0 percent, which is considered low.
GoLocal: Can Sweetser flip the property to another investment group without getting the state's approval?
Commerce RI: The State was careful to ensure there were limits on transfers to institutional users such as universities. It should be noted that in real estate deals such limits are rare (and this term required negotiation). Additionally, in the event of a sale or transfer, there is the potential for some degree of repayment to the State in the event financial triggers are met.
GoLocal: Are there penalties if the developer fails to perform in accordance with the construction schedule? Please provide the schedule.
Commerce RI: The term sheet requires that a timeline be established in the full and final set of agreements that is mutually agreeable to Commerce and the developer.
Analysis: There was no timeline developed for the project at the time of the announcement.
GoLocal: Will the state or Sweetser present for public review an economic impact analysis to show benefits to the public? Please provide a copy.
Commerce RI: We anticipate providing an economic impact report as part of the Commerce board approval process. The document will be available at that time.
Analysis: The deal was announced with no economic impact report completed.
GoLocal: The term sheet appears to be missing a schedule, time frame, dates, etc, -- is that in another document, and can we have a copy?
Commerce: RI: Again, the document requires a timeline to be established in the full and final set of agreements that is mutually agreeable to commerce and the developer. The developer has expressed that they expect demolition to begin in the next 5-6 months.
Analysis: The deal was announced with no construction schedule.
PHOTO: FileGoLocal: Sources say the $223M [project cost] seems very low for a project of this magnitude.
Commerce RI: This is the developer’s current estimated project cost.
Analysis: It appears that the state is solely dependent on the cost estimate of the developer.
GoLocal: Numerous sources tell GoLocal that this project will run $500 sq. ft. Who assumes any overrun of the existing budget? Are the state and local contributions capped?
Commerce RI: The state tools in the framework do not work on a percentage of cost basis but are rather based on an approved amount. (In that sense, they are limited to the approved amount.)
Analysis: There is no plan by the state to address costs overruns.
GoLocal: If the overruns become significant — what collateral has the developer pledged and what is its value?
Commerce RI: As you may remember, Commerce’s investments are only paid when the project receives a C of O. The state tools utilized do not work on a percentage of cost basis but are rather based on an approved amount sized to the project financing gap.
GoLocal: Has the state received a 20-year pro forma that shows all assumptions regarding itemized construction costs, cost of money from lenders, rents and fees, and other income to show how the deal will pencil out? Please provide a copy.
Commerce RI: With input from JLL, Commerce has reviewed the relevant information. Because pro formas contain sensitive and/or proprietary business information, they are not typically provided publicly by Commerce.
Analysis: The state will not disclose certain financial information.
GoLocal:The term sheet approves implicitly the right of Sweetser to flip the property to another investor group at his sole discretion. What protects that state and ensures that he does not sell to a questionable third party? What are approval rights?
Commerce RI: Commerce’s investments are contingent on the project receiving a certificate of occupancy. The project must actually be completed by the owner (or successor owner) in order for payment to occur.
Analysis: There appear to be no protections for the state.
GoLocal: Lastly, if Sweetsor were to leave his firm, pass away or the company was to fail, what protections does RI have? Please be specific
Commerce RI: The framework is with a company, not an individual. The company would still be obligated under the full set of agreements. Additionally, there is inherent protection in that the Commerce investments do not flow until construction is complete and a Certificate of Occupancy has been issued.
Analysis: If the developer were to walk away in the middle of the project and abandon it, it is unclear if there are any protections for the state.
7 Things to Know About Superman Building and Deal Being Proposed
Historical Importance of Superman
GoLocal architecture critic Will Morgan wrote in 2019:
"Opened in 1928, it has dominated the city's skyline for almost a century as one of the grandest pre-Depression era skyscrapers in the country.
No new building in downtown Providence since has approached the wannabe-dirigible-docking station in terms of architectural excellence and design quality.
Walker & Gillette, the New York architectural firm, was one of the most significant commercial firms in the boom years before the stock market crash of 1929 put an end to such magnificent expressions of America's economic might.
Alexander Stewart Walker studied at Harvard and Leon Gillette studied at both the University of Pennsylvania and at the École des Beaux-Arts in Paris, the premier classical architectural school.
From the founding of their firm in 1906 until the early 1950s, Walker & Gillette was in demand as designers of country estates, manors, and mansions for the mega-rich in places like Long Island, Florida, and the Berkshires, as well as New York City.
The firm's big impact, however, was in substantial and dignified classical, Art Deco, and Modern banks, post offices, churches, and office buildings.
Noted New York works include the Fuller Building, the New York Trust, and the Electrical Products Building at the New York World's Fair.
Yet the Industrial Trust in Providence is arguably their masterpiece. Edith Crouch's recently published monograph, Walker & Gillette: American Architects, From, Classicism Through Modernism, 1900-1950s rightly has the Rhode Island tower on the cover.
The Indiana Limestone Company supplied stone facades for most of the major buildings of the era, and would sheath the grandfather of all Deco skyscrapers, the Empire State Building.
So, it is not surprising that when the limestone quarries took out a full-page advertisement in the April 1929 issue of Architecture Magazine, they chose the Providence bank for their illustration.
The limestone advertisement illustrates a point about how solidly and beautifully built commercial structures were in the 1920s.
Architecturally, the Industrial Trust unapologetically expressed the wealth, confidence, and exuberance of the time.
The Great Depression put an end to skyscrapers completely covered in marble, granite, or limestone. Large downtown buildings after World War II would, thanks to modernism and new technology, forgo traditional materials in favor of aluminum, steel, and glass. Decorative carvings, murals, bas-reliefs, and triumphant eagles were dispensed with. It really is true that they just do not build them like they used to."
The footage shows hundreds of cracks, crevices, and chipping of the limestone exterior of the building. The decay appears to have dramatically increased over the past two-plus years.
A spokesman for the owner of the building -- High Rock Development of Newtown, MA -- tells GoLocal that the building is well-maintained.
“111 Westminster Street was constructed like a fortress in 1920’s. It has survived significant weather-related events over the decades with no impact to the structural integrity of the building. The owners maintain a robust maintenance and inspection schedule of the building’s exterior to ensure water damage does not occur. Licensed professionals literally rappel off the top of the building to identify any impacted areas of the exterior that need to be removed or repaired,” said Bill Fischer spokesman.
The company refused to answer numerous questions about the condition of the facade and what efforts are being taken to maintain and improve the condition of the exterior of the building.
In September 2016, GoLocal captured in photography representatives of an insurance company who repelled down the building to conduct an inspection. As GoLocal reported, a team from the company Wiss, Janney, Elstner Associates Inc. had been conducting a facade investigation of the building, which has been empty at that time for three years.
Photos from that 2016 inspection compared to GoLocal’s drone footage and photography taken in this past week show a significant increase in the decay of the facade.
As far back as 2014, an appraisal of the building by Scott & Associates of Providence cited that “the exterior of the subject [111 Westminster] has not been well maintained and requires significant pointing and masonry repairs.”
Now, five years later, the limestone is showing even more significant decay.
Over the past eight years, there have been a handful of failed Superman redevelopment plans including Citizens Bank, PayPal, Hasbro, Samsonite and others.
At least one of the Hasbro plans called for the demolition of the Superman Building.
In December of 2017, GoLocal exclusively reported “GoLocal learned that a plan by two real estate mega-forces, Providence developer Joe Paolino of Paolino Properties and Bob Gilbane of Gilbane Development, is emerging that would build an approximately 36 story tower at the location of the now vacant Superman Building.
"The new structure is being pitched to Hasbro for its new consolidated headquarters. The Paolino and Gilbane plan is just one of a number of plans submitted, but the only one that includes the demolition of the Superman building.
Some of the other proposed offered for Hasbro's consideration include building a campus for Hasbro on 195 lands. Other potential developers include Procaccianti Companies who 'has owned, developed or managed millions of square feet of real estate.' The company owns the Renaissance Hotel in Providence to name just one of its holdings.”
The National Trust for Historic Preservation says the list "spotlights important examples of our nation’s architectural and cultural heritage that are at risk of destruction or irreparable damage. As of this year, more than 300 places have been on the list over its 32-year history, and in that time fewer than five percent of listed sites have been lost."
“For over 30 years, our 11 Most Endangered Historic Places list has called attention to threatened one-of-a-kind treasures throughout the nation and galvanized Americans to help save them,” said Katherine Malone-France, interim chief preservation officer of the National Trust for Historic Preservation.
In 2014, Appraisal Found Building Had "No Value"
An investigation in 2014 by GoLocal found that the building was, de facto, worthless:
The Superman Building in Providence has "no value," according to an appraisal conducted earlier this year by Providence-based appraiser Scotti and Associates.
Moreover, the findings show that the Industrial National Bank Building at 111 Westminster Street would cost between $60 million and $100 million to rehabilitate.
"It's my opinion for the highest and best use is to shutter the building until which point the market conditions improve to the point that rehabilitation is an option. We estimate that as of December 31, 2012, the building has zero value," wrote Scotti in February 2014, referring to the 2012 date when the building's last tenant, Bank of America, moved out.
Following a year which saw owner High Rock Development fail in its effort to secure $70 to $75 million in local, state, and federal funding to turn the building into apartments, the city is back to the drawing board as to how to deal with the city's empty anchor.
High Rock spokesperson Bill Fischer noted that the appraisal was part of an effort to move the process along to find a viable tenant -- or tenants -- to the city's landmark building
"The Scotti appraisal is part of a tax appeal process that was proactively filed with the city by Highrock Development. We are not surprised by the findings of the report," said Fischer. "The question now becomes what can the value of the building be in the future and how can its revitalization contribute to the economic development climate in Rhode Island."
Building Has Been a Political Football for Years
The use of public funds to subsidize the redevelopment of the building has been a political football for years.
One of the most epic battles that took place nearly a decade ago was between two top Democrats. The showdown pitted now Judge Patrick O'Neill and former Speaker of the House Gordon Fox.
Representative Patrick O'Neill has expressed serious concerns regarding a potential historic tax credit deal to turn the city's iconic "Superman" building, now almost vacant, into residential apartments.
"This is starting to look just like another 38 Studios," said O'Neill, former Majority Whip and member of Speaker of the House Gordon Fox's leadership team. O'Neill stepped down from his post last fall over differences with Fox on how the deal for the doomed video game company was pushed through the General Assembly.
Privately-owned, Massachusetts-based High Rock Development, who purchased the building in 2008, has indicated it is seeking $48 million in historic tax credits from Rhode Island, in order to convert the historic structure into roughly 250 to 275 apartments in the 428 foot tall office tower.
The state's historic tax credit program, which was eliminated in 2008 under Governor Donald Carcieri, would have to be approved in the Fiscal Year 2014 budget put forth by Governor Lincoln Chafee by the General Assembly.
A spokesperson for High Rock has said they are in the process of finishing an economic analysis, and will have a presentation with costs and impact shortly. However, O'Neill is already voicing serious reservations about the whole process.
Similarities to 38 Studios?
Former House Majority Whip under Speaker of the House Gordon Fox, O'Neill resigned from Fox's leadership team this past fall, citing philosophical differences with the Speaker -- and concern regarding the lack of information made available before lawmakers were asked to approve the 38 Studios deal in 2010.
"This is looking way too similar to 38 Studios with the timing of all of this," said O'Neill. "The mid-session announcement, the prospect of it getting pushed to an 11th hour vote with no idea what it looks like. We just can't afford to go down that road again."
While General Assembly members did not vote in 2010 to give 38 Studios the $75 million guarantee, they did vote in favor of expanding the state's Job Creation Guaranty Program from $50 million to $125 million.
O'Neill cited the lack of transparency in the 38 Studios approval process, in particular the last-minute unveiling of the proposal to General Assembly before going to a vote, that has him worried that Rhode Island is heading in a similar direction with a large-scale tax-credit deal for a single company.
"I've got real concerns about using tax credits here. We're looking at putting Rhode Islanders on the hook again, and I've seen very little information to date," said O'Neill. "I'll be honest, I've got a whole host of concerns about how this is unfolding."
2022 Deal
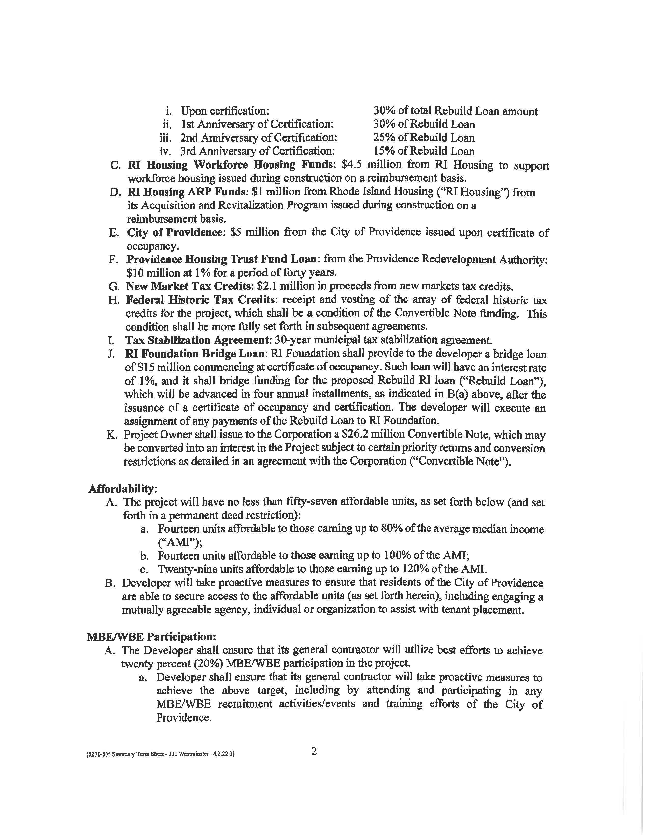
The framework provides that taxpayers will provide:
Providence tax stabilization agreement (TSA) will provide tens of millions in subsidies for the project. Potentially, as much as $30 million depending on the final project costs and the length of the TSA.
In addition, Providence is providing $5 million in subsidy and another $10M in a low-interest loan (1% interest rate)
The state through a series of funding sources in part in an attempt to avoid legislative approval or a direct subsidy has proposed:
$15M Rebuild RI Tax Credit
$5.7M First Wave Closing Fund
$1M RI Housing Acquisition and Revitalization
$5M RI Housing WHIC
$2.1M New Market Tax Credits
$22M Federal Tax Credits
Depending on the total value of the Providence TSA, the total value of the taxpayer-funded subsidies totals between $90M and $100M.
Enjoy this post? Share it with others.
Translation service unavailable. Please try again later.