Insider Deal: $70K Owed to Providence Forgiven By Elorza, Tied to Struggling Skyline at Waterplace
GoLocalProv News Team
Insider Deal: $70K Owed to Providence Forgiven By Elorza, Tied to Struggling Skyline at Waterplace

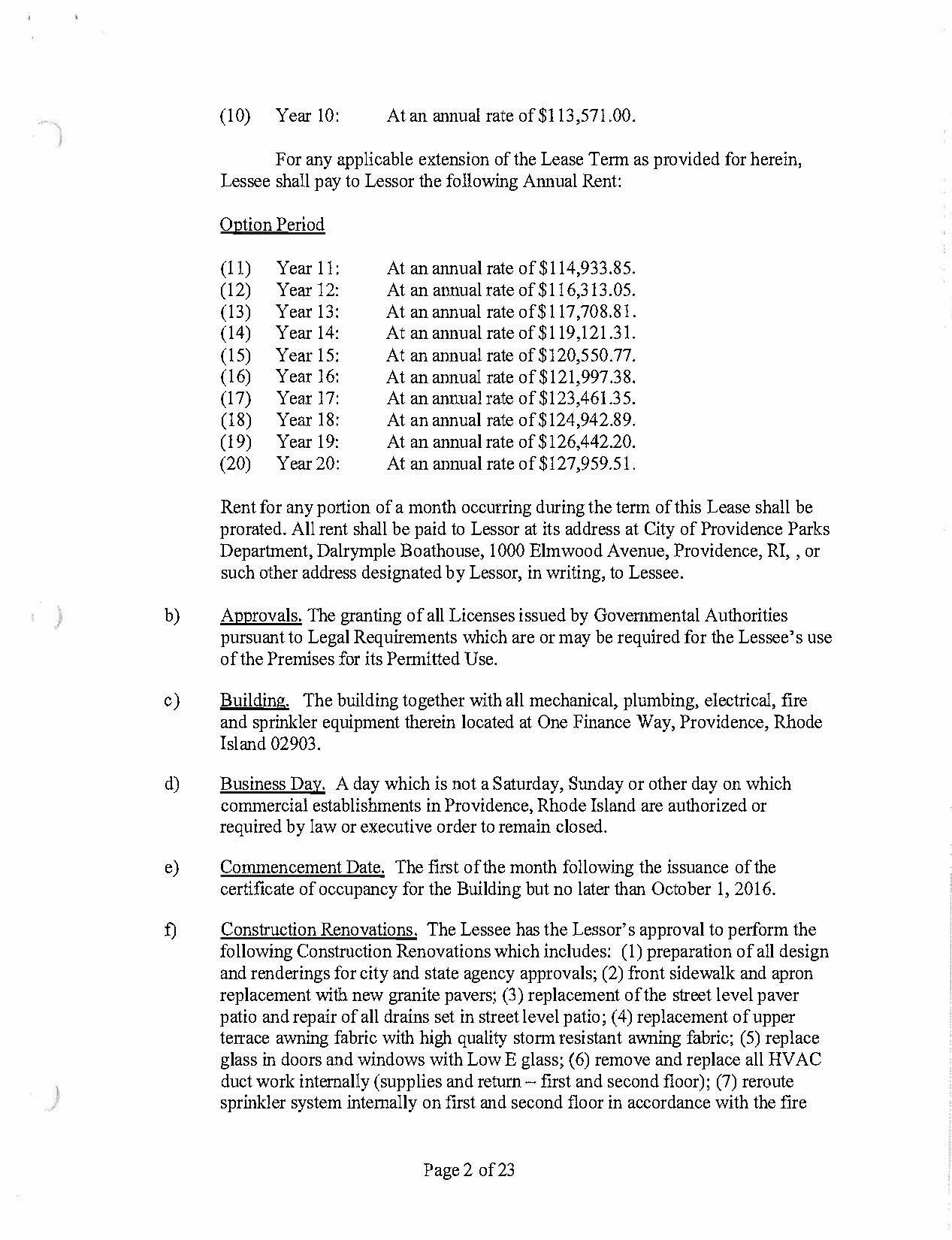
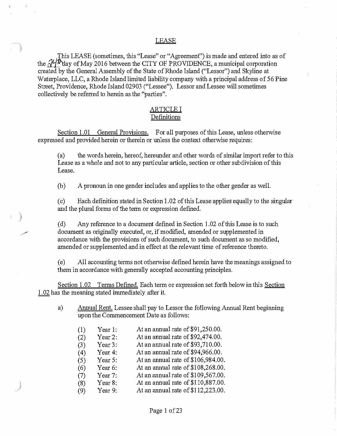
The Skyline at Waterplace is now months behind in rent payments, and Elorza has already lowered lease payments by $70,000 -- all nearly simultaneous to the owners of the club funneling thousands in campaign donations to Elorza.
In addition, Skyline is operated by former fired Providence public works employee, David Pontarelli.
GET THE LATEST BREAKING NEWS HERE -- SIGN UP FOR GOLOCAL FREE DAILY EBLASTWinners, and Losers
In a slick announcement in May 2016, Elorza at a press conference flanked by Mike Mota, the fired Pontarelli; construction company owner and Mota’s father-in-law Joseph Ricci, and Chuck Delpidio — tied to a controversial Boston nightclub group, announced the lease deal would be a win-win for the city.
But, to date, the only win may be to Elorza.
After the press conference and during the buildout of the club, Skyline fell behind in lease payments to the City of Providence in 2016. Mota and his associates were constantly scrambling to make payments, according to former Mota associates.
By June 2017 and thousands behind in payments, the Skyline crew were back re-negotiating with the city of Providence and asking the forgiveness of $35,000 of past due payments.
The monthly lease payment of $7,604 was slashed to just $2,404 for the months of August 2017 to February 2018 -- a windfall to Mota and Pontarelli of another $35,000. But even with the new discounted rent -- Skyline is three months behind.
Mota and Pontarelli will pay less than one-third of their first year's payments. According to the lease signed with the city of Providence, the lease could be terminated 15 days after missing a payment.

At the next available Parks Commission meeting, the changes to the lease were approved and Mota and his team received the $35,000 lease abatement and the $35,000 decrease in rent payments going forward. The amendment to the lease was signed by the chairman of the City’s Park Commission -- Elorza.
Now, just five months after the abatement, the Skyline has missed payments to the City for October, November, and December.
Elorza Awards $15,000 New Years Party to Mota and Skyline
Despite the $70,000 in concessions and three months the Skyline being three months in the rears on rent payments now, the Elorza Administration has given Mota a $15,000 contract to host a New Year’s party.
The party is being marketed by Skyline as “Providence’s first-ever outdoor ball drop, a laser-light show and a spectacular fireworks display.” But, GoLocal has learned that there is no permit issued for fireworks and that the “ball drop” will be a light shined on an adjacent building.

When the Elorza administration first awarded the lease for the Skyline at Waterplace to Mota, Pontarelli, and crew, GoLocal unveiled the checkered background of Pontarelli.
In 2012, Pontarelli was fired by the City of Providence for being a “no-show” worker and taking city property for use at a nightclub that he simultaneously managed, while working for the city.
As GoLocal reported, Elorza’s administration awarded a multimillion-dollar lease to a group of companies - which include Pontarelli - giving him a management interest in Providence’s iconic Waterplace Park.
The contract was issued by the Parks Department and approved by the Board of Contract and Supply, which Elorza chairs.

A Target 12 investigation in 2012 had tracked Pontarelli for a total of 120 hours and found that on Providence taxpayer time, he repeatedly went to have his eyebrows threaded, did work for his other job and went shopping.
Regarding Pontarelli, Tim White of WPRI said he “soaks up the sun and dines on the Hill.”
Pontarelli said in a press release regarding his latest venture, “Skyline at Waterplace will breathe new life into Providence…I can see clearly how Skyline at Waterplace will push Providence to the next level.”
At the time of the WPRI investigation, Pontarelli’s behavior was roundly criticized.
“It is outrageous and maddening,” said then-Mayor Angel Taveras after being shown the video of Pontarelli. “It's a horrible example. I won’t stand for it.”
Pontarelli was first suspended and later fired by the Taveras administration, according to press reports.
Boston Globe Reports on Delpidio
Mota’s business partner Delpidio is a significant player in the nightclub industry in Boston and tied to a range of controversies.
The Boston Globe reported in 2015 that the Delpidios were tied to nightclub problems at Julep.
State regulators have apparently run out of patience with the troubled Julep Bar.
After investigators allegedly found dangerous overcrowding and numerous underage women drinking alcohol at the downtown Boston bar for the third time since November, the state Alcoholic Beverages Control Commission has indefinitely suspended Julep Bar’s liquor license, effectively putting it out of business for now.
A trust in the name of Louis A. Delpidio owns 27.5 percent of Julep Bar. Delpidio owns The Royale, a club that was allegedly the scene of overdoses, a stabbing that went unreported to police, and the murder of Afghanistan and Iraq veteran Stephen Perez Jr.
Another co-owner of Julep Bar, Jackson Gateman, at one point owned the Clubhouse bar in Randolph, where several violent brawls have alarmed police and town officials. And in 2012, at Gateman’s Renzo Brick Oven Pizzeria in Revere, a man bit off part of his former business partner’s nose during a fight.
Another Incident in Boston
In another incident, a Delpidio club was alleged to have pushed the victim of a stabbing onto the street to avoid having to report the incident to City of Boston officials according to a report in the Boston Globe in 2010.
Representatives of the nightclub were ordered to appear at a hearing before the city’s Office of Consumer Affairs & Licensing on Monday, and its license could be suspended or even revoked.
Lieutenant Detective Charles Wilson of the Boston police said the club has the responsibility of reporting a crime so that the culprit can be held accountable, so that police can properly investigate, and so that the public can know what is happening inside.
“We need to know, and we need to react to it,’’ he said. “The fact that they failed to tell us . . . causes a problem.’’
Luis Delpidio, the club’s president and chief executive officer, was not available for comment last night.
Editor's Note: This story was originally published 12/22/17 2:30 AM.
