Peters Is Trying to Force Payment of Nearly $300K of His Contract as Providence Superintendent
GoLocalProv News Team
Peters Is Trying to Force Payment of Nearly $300K of His Contract as Providence Superintendent

Tuesday night's events developed.
Later in the evening, Infante-Green informed Peters that he could no longer continue in his role and needed to resign.
GET THE LATEST BREAKING NEWS HERE -- SIGN UP FOR GOLOCAL FREE DAILY EBLASTPeters tried to defend himself, but Infante-Green refused to budge and told Peters she needed his resignation. He said he needed to speak to an attorney.
On Wednesday morning she made the demand public. Infante-Green's office sent out a press release.
Peters' fate was sealed, he would no longer oversee the effort to "turnaround" the failed Providence School system.
Then, the discussion shifted to lawyers and money.
Payout to Peters
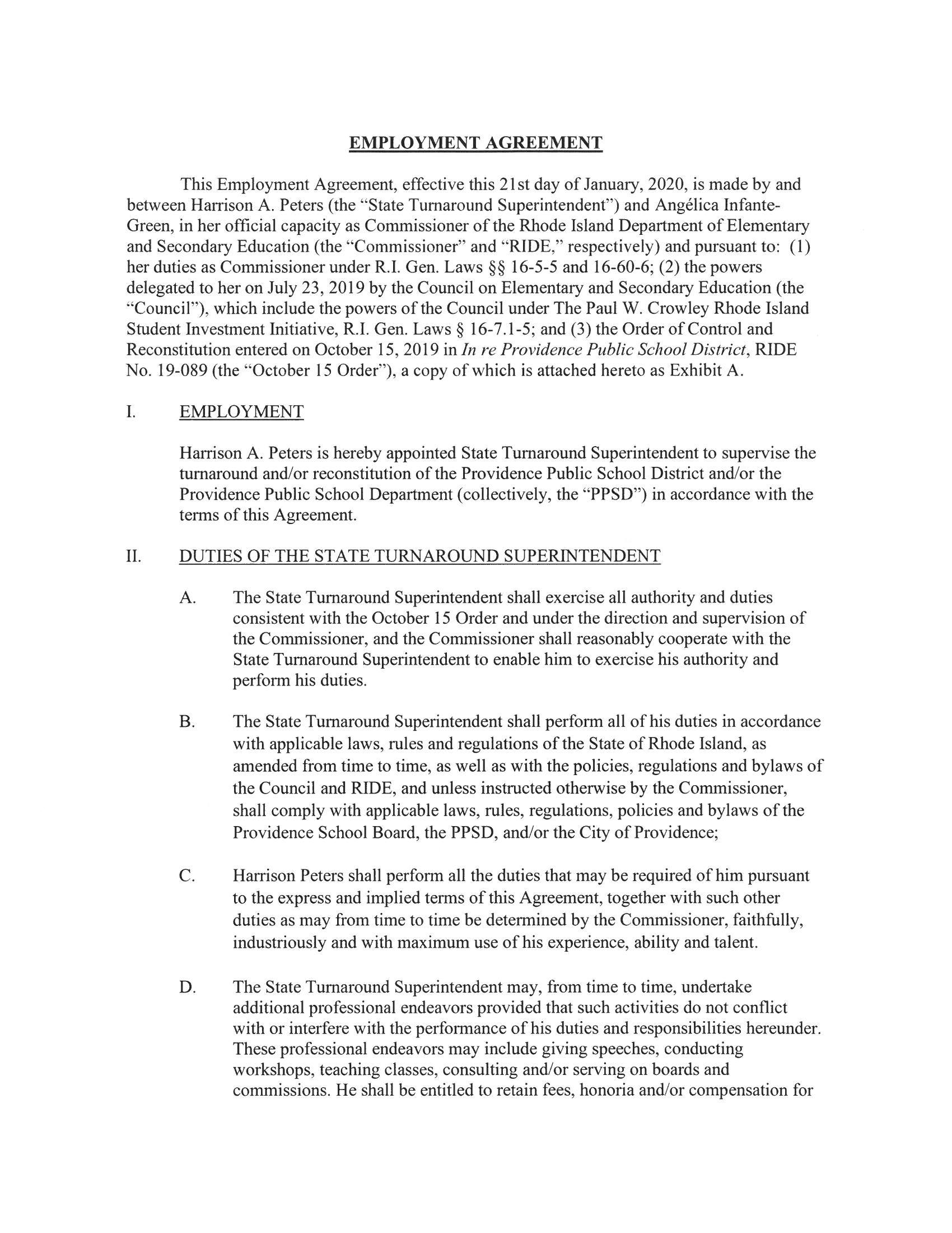
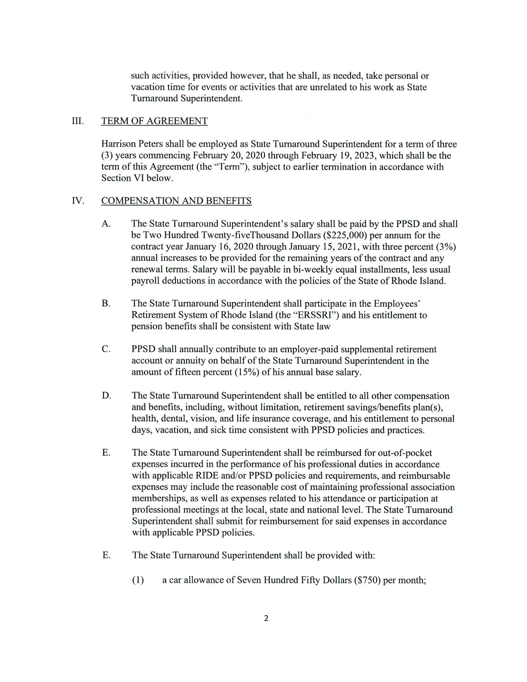
Peters earns $225,000 a year and signed a three-year contract in January of 2020. And, by contract the state makes an additional 15% annual contribution to Peters' state retirement account — it computes to another $33,750 per year.
The contract provides other financial incentives. Peters is just about 15 months through the 36-month agreement.
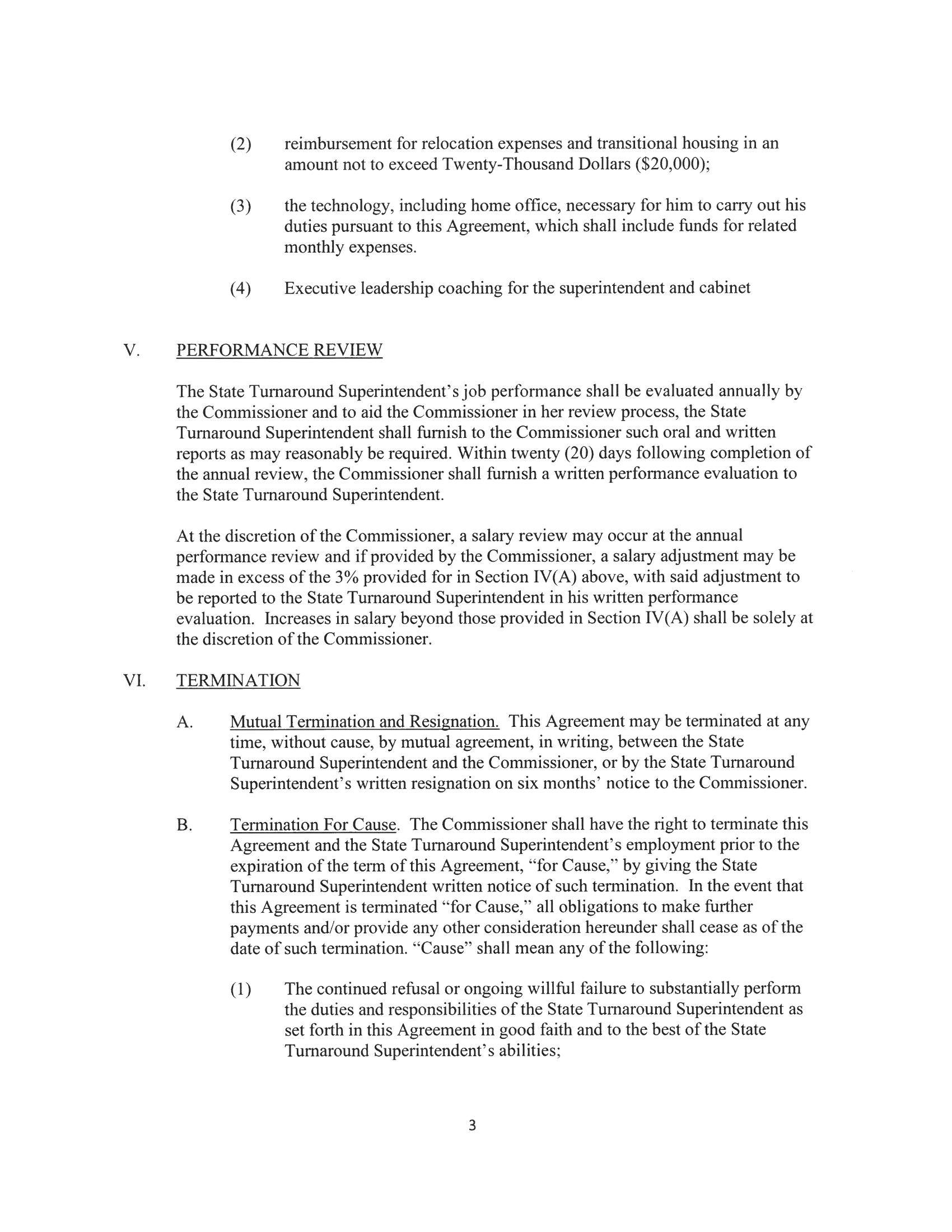
Peters' contract provides that he can be fired in two ways -- with "cause" or "without cause" -- the financial implication for the state is substantially different.
Peters is trying to force the Department of Education to pay off more than one year of the contract.
GoLocal secured a copy of Peters' contract. READ THE FULL AGREEMENT BELOW
The contract allows for Infante-Green to fire Peters without cause. The contract specifies that she provide Peters with 60 day written notice, but in that case, the state is obligated to pay one year of salary and benefits. So between the 60-day notice period and the additional year between salary, the total payment will cost the state approximately $300,000.
If the state moves forward for firing him for cause, then the contract outlines a range of provisions.
The contract reads:
Termination for Cause: The Commissioner shall have the right to terminate this Agreement for the State Turnaround Superintendent’s employment prior to the expiration of the term of the Agreement, “for Cause,” by giving the State Turnaround Superintendent written notice of such termination. In the event that this Agreement is terminated “for Cause,” all obligations to make further payments and/or provide any other consideration hereunder shall cease as of the date of such termination. “Cause” shall mean any of the following:
(1) The continued refusal or on going willful failure to substantially perform the duties and responsibilities of the State Turnaround Superintendent as set forth in this Agreement in good faith and to the best of the State Turnaround Superintendent’s Abilities;
(2) Dishonesty misappropriation, breach of fiduciary duty, fraud or falsification of records;
(3) Conviction of, or the pleading of solo contender to, a felony or to any other offense which, in the judgment of the Commissioner, would bring public respect, contempt, or ridicule upon the Commissioner, RIDE, the Council, the PPSD, the City of Providence, the State of Rhode Island and/or to their employees;
(4) Willful misconduct or gross negligence that in the sole judgment of the Commissioner, has or is likely to have an adverse effect upon the Commissioner, RIDE, the Council, the PPSD, the City of Providence, the State of Rhode Island and/or to their employees;
(5) Failure to follow the proper written direction of the Commissioner;
(6) Any conduct which, in the sole judgment of the Commissioner, constitutes moral turpitude;
(7) Repeated unsatisfactory work performance or failure obtain objectives; or
(8) Any other material breach of the terms and conditions of this Agreement






