Drug Charges Dismissed Against Patriots Safety Chung Following Settlement
GoLocalProv Sports Team
Drug Charges Dismissed Against Patriots Safety Chung Following Settlement

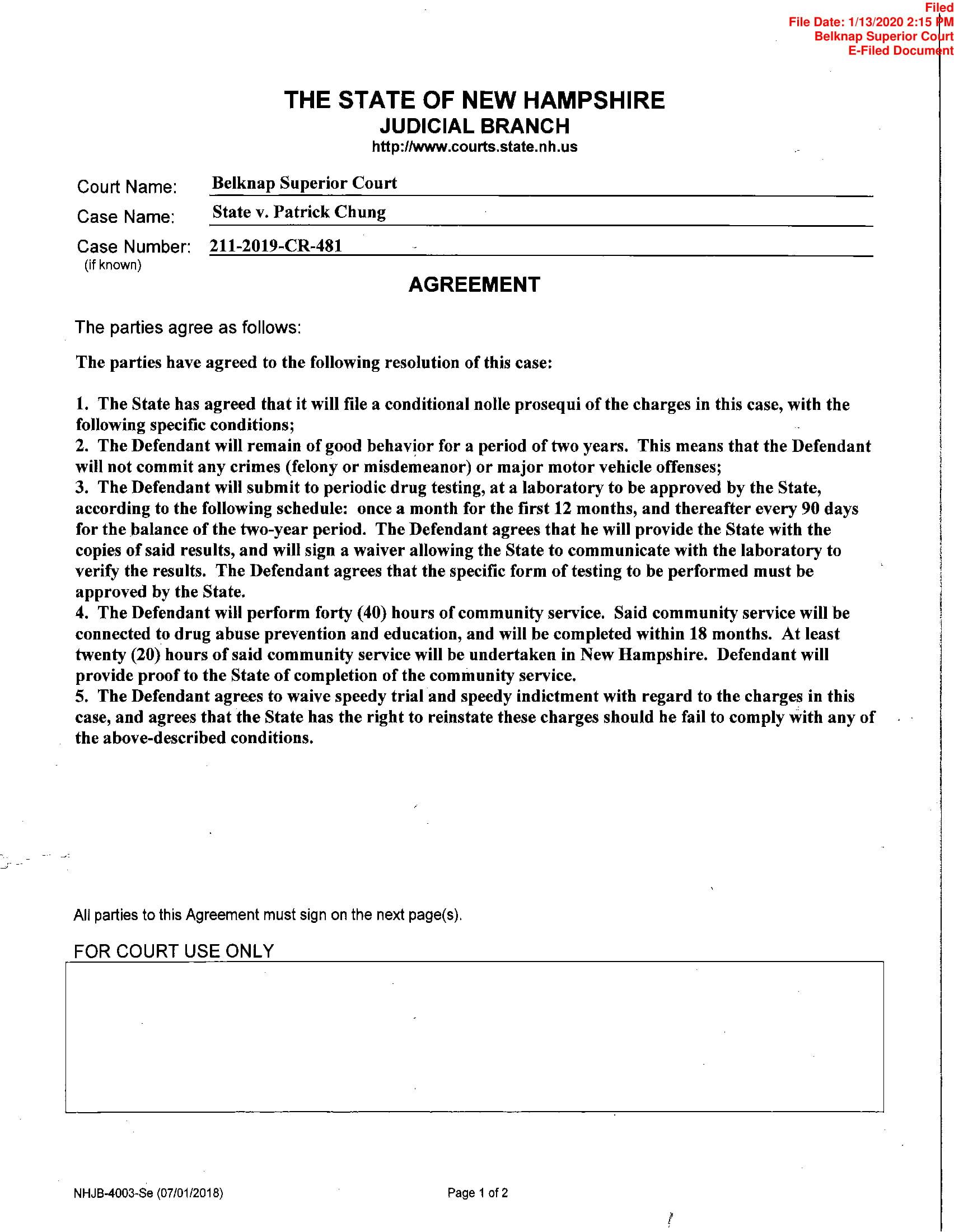
Read the agreement Below
“There are several factors which led the State to agree to this resolution. First, Mr. Chung has no prior criminal record nor any prior involvement with the criminal justice system. Second, Mr. Chung was fully cooperative with the Meredith Police Department on the evening of the incident involved," said Belknap County Attorney Andrew Livernois in a statement.
GET THE LATEST BREAKING NEWS HERE -- SIGN UP FOR GOLOCAL FREE DAILY EBLASTHe added, "Third, the amount of the drugs which were allegedly in Mr. Chung’s possession and/or control was small. Fourth, Mr. Chung has provided proof to the State that he has voluntarily undergone a full substance abuse evaluation, and that said evaluation indicated that Mr. Chung does not need any substance abuse treatment.”
According to the documents, Chung will have to perform 40 hours of community service, submit to periodic drug testing and keep good behavior for two years with no felonies or misdemeanors.
The Charge
As GoLocalProv reported, Chung was indicted on a charge of cocaine possession back in August.
According to assistant attorney Keith Cormier in the Laconia Sun, Chung possessed cocaine on June 25 in Meredith, New Hampshire where he has a house.
Chung With Patriots
Chung has played for the Patriots in nine of his ten NFL seasons, spending one year with the Philadelphia Eagles in 2013.
Chung was originally drafted by New England in the second round of the 2009 NFL Draft.
After leaving New England to sign with the Eagles in 2013, Chung was back with the Patriots in 2014 after signing as a free agent.
Last season, Chung was named co-captain for the first time in his career.
Overall, Chung has helped the Patriots win three of the last five Super Bowls.


