RI Commerce Employees Given Gag Order Not to “Disparage” Betsy Wall
GoLocalProv News Team and Kate Nagle
RI Commerce Employees Given Gag Order Not to “Disparage” Betsy Wall

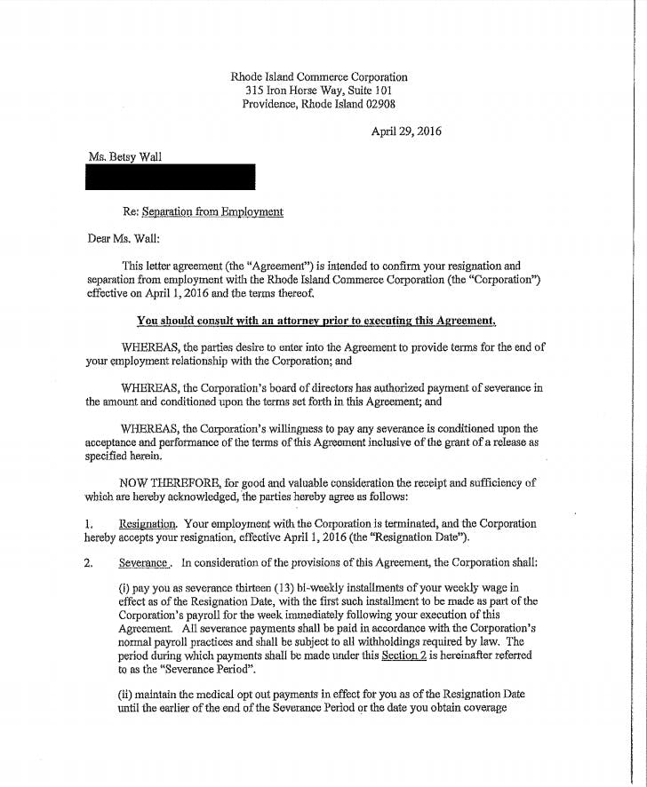
The directive was sent in an email to all corporation staff following the finalizing of a severance agreement with Wall, which saw the embattled former tourism head get a nearly $70,000 severance package after she “resigned” from the post last month.
SLIDES: See Wall’s Severance Agreement BELOW
GET THE LATEST BREAKING NEWS HERE -- SIGN UP FOR GOLOCAL FREE DAILY EBLASTThe memo dated May 3 from Human Resources stated the following:
To all Corporation Staff:
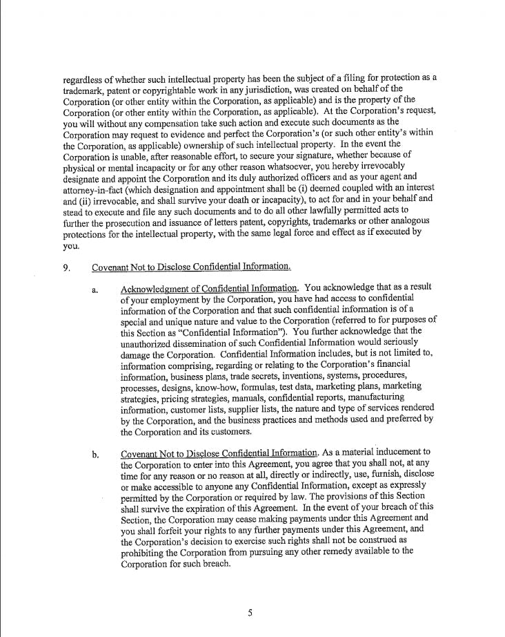
The corporation recently entered into a separation agreement with Betsy Wall.
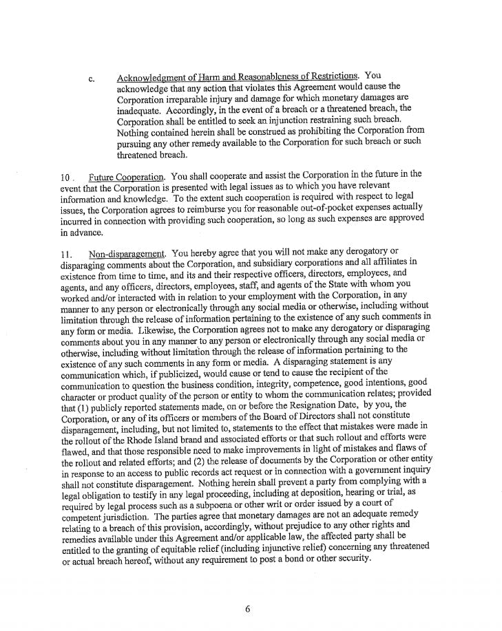
Please note that the agreement contains among other things, a mutual non-disparagement provision such that the Corporation (inclusive of its directors, officers, and employees) is contractually bound to not make any derogatory or disparaging comments about Ms. Wall.
The politically connected Wall came to RI in December following posts in Washington DC and Massachusetts - two months after the state had already selected the vendors for the campaign.
Wall was similarly bound not to make any disparaging comments towards Commerce in the severance agreement.
